TECHNICAL KNOWLEDGEBASE
【VirtualLab Fusion】 【Diffractive Optics Package】
2023-02-27
トップハット生成のためのSLM位相変調の設計

アプリケーション例の要約
設定の詳細
- 光源
– ガウシアンレーザービーム - 構成
– 反射型SLM とその後に続く 2f 光学系 - ディテクタ
– 視覚の模倣
– 電磁場分布
– 効率、SN 値 、均一性誤差、迷光評価 - モデリング / 設計
◆ ガウスビームを Top Hat に整形する ための 反復フーリエ変換アルゴリズム(IFTA)による位相限定関数の設計
◆ フィールドトレーシング:SLM ピクセルアレイでの光回折 Field Tracing: light diffraction at SLM pixel array
システム図

モデリングと設計の結果

まとめ
VirtualLabの組み込みツール
- 反復フーリエ変換アルゴリズム(IFTA)
- 補助のセッションエディタ
- 回折効果に最も適した多様なオプションを提供するクラシカルフィールドトレーシングシミュレーションエンジン
これらを使用して
- SLM用に設計、最適化された位相分布を生成し、
- 最終光学系の設定でシミュレートされた出力を分析する
アプリケーション例の詳細 システムパラメータ
コンテンツの概要
- まず、シミュレーション仕様、全体的な システム、評価結果の詳細を説明。
- 続いて、このようなシミュレーションを自分で設定する方法の手順を段階的に説明。
- 最後に、実際に SLM モジュールを使用する際に、 設計および解析されたデータをエクスポートする際に必要な情報を提供。
関連するアプリケーション例

設計とシミュレーションタスク
- 2f光学系および所与のSLMについて、矩形のトップハット(スーパーガウシアン)配光の生成に必要な位相値を設計する。
- SLMは、ファーフィールド でトップハット形状を生成するように光偏向を導入し、フーリエレンズは、光を集束し、最終的なワーキングディスタンスを決める。

仕様:入射レーザービーム

シングルモードガウスレーザービーム
| パラメータ | 値と単位 |
| ビーム半径(1/e2) | 3.3mm |
| M2-値 | 1 |
file: SLM.0001_TopHat_SLM Design_1_InputField.ca2
仕様:2f 光学系と所望の出射ビーム
ターゲット平面における所望のビームプロファイル
2f光学系 は以下を備えた理想的なレンズに相当する
- f = 50 mm
- f‘ = 50 mm
スーパーガウシアン(トップハット)
| パラメータ | 値と単位 |
| エッジ幅(強度の90%~10%の減衰から測定) | 26μm |
| 所望のSN値 | > 30dB |
file: SLM.0001_TopHat_SLM Design_2_OutputField.ca2
仕様:設計条件
- 一般的な DOE vs SLM 設計
構造がある基板材料内にある回折光学素子の場合、x方向およびy方向のピクセルサイズは自由に選択することができる。SLMアプリケーションの場合、これらのサイズはSLMピクセルのサイズに応じて固定される。 - 反射光学系
SLMが傾いている反射SLM光学系の場合、入射光は、傾斜SLMピクセルの領域のみを「見る」。したがって、設計および最適化アルゴリズムが垂直入射光を仮定するとき、透過関数のピクセルサイズは設計に適合されなければならない。
仕様:SLM ピクセルアレイ=透過関数
SLMピクセルアレイ上面図:
| Hamamatsu X10468 | 値と単位 |
| ピクセルピッチX x Y | 20μm x 20μm |
| エリアフィルファクタ | 100%(*) |
(*)実際の浜松ホトニクス社X10468のエリアフィルファクタは98%。対応する効果はSLM.0002で確認。
この設計では、SLMピクセル間のギャップは考慮されない。
(例)このSLM.0001では100%のエリアフィルファクタを仮定する。
圧縮された長さを考慮した設計
- Y軸の周りの ティルト 角を有する 反射型光学系 であるため、入射光は、垂直に見て圧縮された視野で SLMのX長さを「見る」ことになる 。

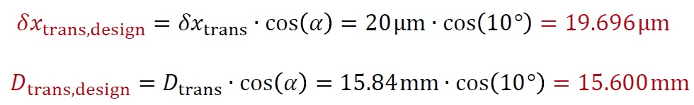
- 通常の入射光を考慮した反復フーリエ変換アルゴリズム(IFTA)を使用した設計では、 SLM およびそのピクセルの長さ X にそれぞれ係数 cos(α)を掛けることによって調整される。
圧縮されたSLMピクセルの長さ = 20µm・cos(10°) = 19.696µm
圧縮されたSLM の全長 = 15.84mm・cos(10°) = 15.600mm
設計と最適化への補助

- VirtualLabは、ビーム整形のためにセッションエディタと呼ばれるものを提供する。上記は設計を構成し、ドキュメントを最適化する際に役立つ。
- 主としてVirtualLab は、ピクセルサイズが多様かつ設計プロセス中に決定される 古典的な回折光学素子(DOE)の設計に使用される。
- SLMセットアップの場合、要素のピクセルサイズは固定パラメータであるため、セッションエディタにて手動で指定する必要がある。
file: SLM.0001_TopHat_SLM Design_3_DesignDoc.ca2
設計結果:位相透過関数
隣接する位相分布は 2 モジュロ ディスプレイ で示される。
file: SLM.0001_TopHat_SLM Design_4_DesignedTransmission.ca2
アプリケーション例の詳細 シミュレーションと結果
設計結果:メリットファンクションと出力

- デザイン結果の特性なパラメータは、[解析]タブで計算できる。出射フィールド(振幅)は、疑似カラー(虹色)で表示される。

- Show Light Pathをクリックすると、システムのLight Path Document(LPD)が開く。
ティルト光学系でシミュレーションを行うための事前設定
設計された位相データは、開いているLPDに自動的に挿入される。反射型SLM 光学系では、ある程度の調整が必要となる。
1. ティルトした光学素子は元のピクセルサイズを有すため、設計された透過関数のサンプリング距離は、実際のSLM パラメータ(20μm×20μm)に従って設定されなければならない 。
2. さらに、VirtualLabでは、矩形のピクセル 形状によって引き起こされる光学的効果を考慮する事ができる。

3. ティルト反射設定は理想ミラーを追加することによって構成する必要がある。
4. 次に、両方の素子における必要なティルト角を設定する。

5. 理想的なレンズ素子 は軸外、非近軸シミュレーションには適していないため、後述の、関連する収差を考慮するためのレンズ(SLM.0003を参照) か本事例で紹介の完全な収差のないフーリエレンズを実現する2f-光学系に変えなければならない。
file used: SLM.0001_TopHat_SLM Design_5_FinalReflectiveSetup.lpd
システムの3D ディスプレイ

光学系の構成を図示するために、異なる素子間に距離を追加。 これはシミュレーションには必要ない。(2f光学系素子は、前後の伝播距離をすでに考慮している)。
より高いシンク次数評価

- いくつかのデータポイントによる各SLM ピクセルのシミュレーションは、周期構造によって引き起こされる回折効果 の考慮ができる 。
- 得られた回折次数は、各画素が矩形構造あるため、 sinc関数(いわゆる高次の次数)によって変調される。
- この強度変調は、達成可能な均一性誤差に影響を及ぼす。 IFTA の設計プロセスでは、この効果を補うことが可能。
システムのシミュレーション結果

システムのシミュレーションの結果、所望の要件
- 効率 > 95%
- SN値 > 30dB
上記レベルを容易に実現。
file used: SLM.0001_TopHat_SLM Design_5_FinalReflectiveSetup.lpd
まとめ
VirtualLabの組み込みツール
- 反復フーリエ変換アルゴリズム(IFTA)
- 補助のセッションエディタ
- 回折効果に最も適した多様なオプションを提供するクラシカルフィールドトレーシングシミュレーションエンジン
これらを使用して
- SLM用に設計、最適化された位相分布を生成し、
- 最終光学系の設定でシミュレートされた出力を分析するVirtualLabの組み込みツール
- 反復フーリエ変換アルゴリズム(IFTA)
- 補助のセッションエディタ
- 回折効果に最も適した多様なオプションを提供するクラシカルフィールドトレーシングシミュレーションエンジン
これらを使用して
- SLM用に設計、最適化された位相分布を生成し、
- 最終光学系の設定でシミュレートされた出力を分析する
ステップ毎の説明 最適化と解析を含む、SLM システムを設定し、設計を実行する一般的なアプローチ
設計と解析手順
設計
- 使用されているSLMモジュールに従って基本条件を確認する。
- 入射・出射フィールドをそれぞれ特定する。
- 非正規入射の場合、圧縮されて現れる SLM ピクセルのサイズを計算する。
- 透過関数の設計と最適化によりアシストされた回折ビーム整形セッションエディタを構成することにより、光学系全体を定義する。
- 幾何学的な事前設計に続いて、最終的な反復設計および最適化を行う。
解析
- Light Path Diagramを生成し、SLM のアパチャーサイズと最終的なサンプリングサイズを設定する。
- Light Path Diagramを変換し、理想的な平面ミラー素子を挿入。次に、このミラーと透過 素子 の向きを調整する 。
- 1f / 2f光学系素子で理想レンズを交換し、距離を調整して影響を受けたすべての伝播に対して回折回転演算子を選択する 。
- 長方形のSLM ピクセルのために、回折素子の透過素子にピクセル化係数を設定。
- シミュレーションを実行する。
D1: SLMの構造からわかること
- SLM-画素のサイズが固定されているために、結果としての出射フィールドの最大拡張が予め決定される。隣の式はこの拡張を計算する。
- これらの狭窄は、VirtualLabの回折ビーム整形セッションエディタの設定によって自動的に考慮される
- SLMの合計サイズも固定されている。したがって、到達可能なターゲットフィールドの分解能も直接導かれ、隣の二番目の式によって計算することができる。

λ…波長; δχtrans…SLMピクセルサイズ; Ⅾtrans…設計された透過関数のサイズ(ビーム整形のアプリケーションの場合=SLM直径); ηout…外装材の屈折率
D1: 達成可能な出射フィールドのパラメータ
このSLMでは
- 以下サイズの総合出射フィールドが可能となる

- x方向およびy方向のターゲット面における達成可能な分解能

D2: 入射フィールド

- 入射 フィールドの生成には、VirtualLabの光源モデルを使用することができる。
- 予定した入射レーザビームの光分布については、光源リボンバー からのガウス波モデルを使用する
–[Spectral Parameters]タブで波長を指定する
–[Spatial Parameters]タブで1/e2ウエスト半径を指定する
D2: 出射フィールド

- 出射フィールドの生成には、VirtualLabの光源モデルを使用することができる。
- 所望のターゲット明視野分布の定義については、光源リボンバー からのスーパーガウス波モデルを使用する
–[Spectral Parameters]タブで波長を指定する
–[Spatial Parameters]タブで1/e2ウエスト半径を指定する
-
- 分離可能(Rect. Symm.)
- 1/e2ウエスト半径
- エッジ幅(ビーム整形素子なしの光学配置によって得られる単一の目標スポット半径よりも大きくすべきである)
D3: 入射角
- 使用される浜松ホトニクス社 SLM X10468 のパラメータ:
- xとy方向のピクセルサイズ: δχtrans = 20µm
– xとy方向の全直径:(Dtrans,x; Dtrans,y) = (15.84; 12.00) mm
- 意図された入射デカルト角度α= 10°でSLMを見た場合に現れるように、圧縮された SLM ピクセルを計算する:

これらのサイズは設計に使用する必要あり!
IFTA設計プロセスの光学系の概要

D4: セッションエディタの設定

- 作成された照光および目標光分布を設定する
- 最適化領域のオプションを選択する
- 焦点距離を設定する
- SLAパラメータおよび関連する内容に従って固定ピクセルサイズを指定する
- 有効なSLM アパーチャサイズを指定する (セッションエディタは、より正確な設計のための最適化プロセスのために、このアパーチャサイズを自動的に増やす)
- Nextをクリック
D4: パラメータの概要によるチェック

- より正確な設計のために、最適化プロセス中にアパーチャサイズが自動的に増加する。その後、正しいアパーチャサイズを再度調整する。
- Create Optimization Documentをクリックする。
D5: 幾何学的な事前設計
- 反復フーリエ変換アルゴリズム(IFTA )の出発点として、幾何学的光学ビーム整形に基づく事前設計が行われる。
- 矩形のターゲットパターンの場合、Cartesian Separability を選択する。
- 初期設計を開始する。

D5: IFTA - 位相レベルの数

- SLMで使用可能な位相レベルがごくわずかしかない場合は、タイプ「 Quantized Phase Only 」を選択した後、Specification タブで対応する番号を設定する必要がある。
- 浜松ホトニクス社SLM は、位相レベル表現に実質的に 8 ビットを提供する。したがって、ほとんど連続的である。最終的なデータのエクスポートにおいて、実際の数値は後で考慮される。
D5: IFTA - Sinc変調を補正する

- 矩形のピクセルのために、生成された強度分布は、Sinc関数の幅に従って変調を示す。
- Simulate Pixelationを選択すると、VirtualLabはこのエフェクトを分析的に計算し、設計中に補正する。
D5: IFTA - 設計 の設定

- 以前に計算されたものを初期の透過関数として使用するには、 IFTA Approachに変更し、Generate Initial Transmission を無効にする。
- 設計ステップを調整する。
- 計算時間を短縮するには、Enable Logging とともにShow Final Transmission and Output Field を無効にする。
- 設計を開始する。
IFTA - 事前解析

- 設計が完了したら、[Analysis]タブの結果を確認する。
- 出射フィールドを表示することができる。例えば、 疑似カラー (虹色)で表示される。
- IFTAは位相値を適切に制御するためビームシェイパーの設計時に大きなフィールドを使用するため、 IFTAの解析結果は後のシステム全体のシミュレーションとわずかに異なる。
A1: 全てのシステムを取得する - LPD

- 次に、[Show Light Path]をクリックして、対応する Light Path Diagram(LPD))を取得する。
- これはDiffractive Optics Toolbox LPD で、より多くのオプションを得るために後から Start Toolbox LPDに変換する。
- 前提として、IFTA は常に透過型の軸上のシステムを出力する。
- したがって、後で実際のジオメトリの最終シミュレーションを行うためにシステムを少し変更する。
- まず、設計された位相データに関する最終的な準備を行う。
A1: SLM アパチャーを適用

- まず、実際のSLM ピクセル数に対応する透過領域を抽出する必要がある。
- この抽出は、Diffractive Beam Shaper Session Editor ウィンドウでNextをクリックすると自動的に行われる。
- その後、Extractをクリックして、指定されたアパチャーを含む設計された透過関数を取得する。
A1: サンプリング距離を調整する

- IFTAの設計にのみに必要であるためx方向のサンプリング距離を再調整する。(システム全体では、SLMの元のピクセルサイズと意図された傾きがある)
- このサンプリング距離の再調整は、Property Browserの [Data]タブで行う。
- この動作は、設計全体が軸上の設定(ビームスプリットキューブを用いて透過型または反射型)に従っていた場合には必要ではない。
A1: 透過関数の交換機能
- 次に、調整されたものとLPD に記憶された透過関数を交換する。

A2: Starter Toolbox LPD に変換する
- Diffractive Optics Toolbox LPDのライトパスエディタのツールボタンをクリックし、「Convert to Starter Toolbox LPD」をクリックする。
- これにより、挿入する光学素子の完全な選択ツリーリストが表示される。

A2: 実際のシステムのジオメトリの調整
- Calculated Transmission の前にIdeal Plane Mirror を挿入する。
- ミラーを10°傾ける。
- 透過素子とミラー平面とを重ねるためには、逆の角度(-10°)でIsolated Positioning で 傾けなければならない。

A3: 2f光学系を設定する

理想的なレンズ素子は、軸外の非近軸シミュレーションには適当でないため、次のどちらかによって交換する必要がある。
- 関連する収差を考慮するために後に意図されるレンズ
- もしくは、ここで見せたような、完全な収差のないフーリエレンズを実現する2f光学系素子
すなわち、2f光学系素子は、偏向された光を平面スクリーン上の意図された位置へ完全に焦点を合わせ、その結果、非平行性を補正する。素子の前後の伝播距離は、その編集ダイアログのパラメータ設定を介して考慮される。
file used: SLM.0001_TopHat_SLM Design_5_FinalReflectiveSetup.lpd
A3: 回転演算子の選択

- 傾斜面での回折効果を扱う際には、関係する素子について、 Diffractive Rotation Operator を使用する必要がある。
- SLMピクセルが小さいほど、回折効果が強いほど、この選択が重要になる。
A4: ピクセル 化された透過関数 のシミュレーション
- デフォルトでは、VirtualLab は設計された各ピクセルを 1 つの データ点(シミュレーションピクセル)でシミュレートする。
- 矩形遷移(SLM)ピクセルの効果を考慮する必要がある場合、各遷移ピクセルは複数のデータポイントで表される必要がある。
- ここでは、Pixelation Factorを導入することによって、各トランジションピクセル領域を 3x3データポイントでシミュレートする。
- それでも、SLM ピクセル間のギャップは考慮しない。 SLM.0002 に導入された特別なコンポーネントと見なすことができる。
- この考慮事項は、計算フィールドと出力フィールドのサイズを増加させる。

A5: 完全な光学系のシミュレーション

Classic Field Tracingは以下を示す。
- トップハット内の振幅変調(虹色の配色)
- 矩形の透過ピクセルによる高いsinc次数(逆虹色配色)
- 異なるメリット関数値
ミラーリングに関するオプションと注意 異なる構造、スクリーンおよび製造
ミラーリングを考慮する
希望の光学系の構造に関して、ユーザは、このようなビーム整形素子を設計する際に、異なる問題を考慮する必要がある。例えば、
- 素子のどちら側に構造体を配置すべきか
- 光学系は透過型か反射型か
- ターゲットパターンを、光を見る事が出来るような透明なスクリーン上または不透明なスクリーン上に見なければならないかどうか
- さらなる使用のためにデータを渡す方法(メーカー / SLM入力)(必要な座標系は何か)
したがって、ユーザは、
ミラーリングされたパターンを使用して設計したり、ミラーリング効果を避けるために、構造の-1z-スケーリング(反転)または-1x-スケーリング(ミラーリング)を使用する必要がある。VirtualLabは、そのような観点から必要なすべてのツールを提供している。
提示されたSLMシステムの点対称ターゲットパターンについて、特別な考慮は必要ない。
SLMアプリケーションのデータエクスポート
ビットマップエクスポート
- 設計後、データをSLMに転送する必要がある。一般的なのは、データをビットマップ(BMP)ファイル形式に変換し、グラフィックス ディスプレイドライバを介して SLMを作動させる方法である。
- このようなBMPエクスポートについては、以下の手順を考慮する必要がある。
- IFTA設計中に 量子化レベルが導入された場合、認識可能なレベルの SLM の数に応じてこれを行うことができる。
- インポートされたSLM Phase Correctionファイルを乗算する( SLM 製造業者がそのように提供している場合)
- Phaseから Real Partに移動する
- Positiveを上げる。
- 最大化する。値を1にする
- 実数部を認識可能なレベルの数で別々に掛ける。
e.g.255(→0 to 255) - BMPへのエクスポート(ファイル>エクスポート)- つまり、0から認識可能なSLMレベルまでの黒白の実数部
1. 量子化レベル を 導入
量子化は、設計中または設計後に適用することができる。
- IFTA設計および最適化の間に等距離データ(例えば、位相)レベルを導入すると、計算時間が長くなる。
しかし、より少ない数の量子化レベルでは、このプロセスはスマートなアルゴリズム(ソフト導入)によって非常にスムーズに行われるため、このオプションを使用する必要がある。 - SLMが多数のレベル(すなわち、ほぼ連続した、例えば 200 )を認識する場合、 Hard Quantization は、 透過関数 の変化がほとんどないインターフェースを介してその後に適用され、したがって、ほとんど変わらないメリット関数値が適用される。
→操作リボン > Quantization > Hard Quantization にて行われる
2. SLM 位相補正
- 通常、SLM は完全にフラットではないため、製造元によっては特定の位相補正機能が用意されているが、これには設計された透過関数を乗算する必要がある。
- キーボードの[*]ボタンを使用するか、操作リボンバー > Array - Array Operations > Multiplicationを使用して、補正関数をインポートし、計算されたと乗算する。
VirtualLabのデータインポートに関する詳細は、 Tutorial 337.01を参照。
3. Phase から Real Part
PhaseからReal Part に移動する:
操作リボンバーから>Field Quantity Operation > Phase からReal Part へ移動

4. Lift Positive
操作リボンバーから> Amplitude/Real Part Manipulations >Lift Positive

5. 標準化
操作リボンバーから > Amplitude / Real Part Manipulation > Normalize

6. 最大値の調整
操作リボンバー から > Operation with Constant > Multiply Constant

7. BMP エクスポート
Fileメニューから > Export > Export as Image

次のエクスポートダイアログで、ファイル形式を.BMP に変更します。
→これで、ビットマップデータを SLM モジュールに転送できます!
参考文献 ダウンロードファイル
- Get Started動画
–Introduction to theLight Path Diagram
–Introduction to the Parameter Run
–Introduction to Parametric Optimization
- このアプリケーション例に関連するドキュメント
–Tutorial 337: Introduction to the Data Array Import
–SLM.0002: Simulation of Light Diffraction at Pixels of an SLM
–SLM.0003: Investigation of Lens Aberrations in an SLM based Beam Shaping Setup




